郭伯威 黑料社
助理教授
占旭豪 黑料社 本科生
2017年,国家发展改革委和国家能源局发布《关于开展电力现货市场建设试点的通知》,选择了包括广东在内的8个地区开展电力现货市场建设试点工作。截至2022年4月,广东已经完成五轮现货市场试运行,并于2021年11月起展开不间断试运行结算。
前五轮现货市场试运行是否稳定?政策如何引导市场结果进行福利分配?市场竞争性情况如何?近期发表在英文期刊Energy Policy(《能源政策》)的文章“中国电力现货市场试运行评估:来自广东的经验”(Assessing China's provincial electricity spot market pilot operations: Lessons from Guangdong province)回答了上述问题。
01市场背景
广东电力现货市场于2018年9月启动,是全国最早开展试运行的现货市场。与其他地区相比,广东的电力供给参与市场交易的比例较高,需求侧向售电公司开放,在市场设计形式和流程方面也更加灵活,通常被认为是我国电力体制改革的先锋。
截至2020年底,广东的电力总装机容量达到141GW,其中65.8%来自化石燃料,8.5%来自可再生能源(即风能和太阳能)。2010年-2019年,随着经济的快速发展,广东的电力需求总量平均年增长率为6%,尽管可再生能源占比仍然较低,但发电量增加了12倍,年增长率为32%。同时,广东平均约有24%的电力来自于相邻省份,其中大部分为来自云南省的水电。图1展示了广东省历年来的发电能源构成情况。
图1 2010-2019年
广东按燃料类型划分的年电力供应量

新一轮电力行业市场化改革以来,广东参与市场的电能量占总发电量的比例在逐年增加,到2020年,上升到40%,并预计未来将进一步提升。电力交易主要通过中长期(M2L)合同进行,现货市场则主要作为中长期交易的辅助手段。现货市场不仅能够根据电力需求以及新能源出力的变化对化石能源发电量进行调整,还反映了电力生产边际成本的实时变化情况,起到了发现价格的作用。因此,一个完善的电力市场需要中长期交易与现货市场协同运作,有助于市场高效平稳运行。
广东现货市场包括日前市场和实时市场,由广东省电力交易中心和调度中心共同运营。所有参与市场的发电机组每15分钟进行统一出清。发电商根据节点电价获得收益,而电力用户则根据各节点的加权均价进行支付。
广东在每一轮试运行中都会对现货市场交易规则进行改进。相较于前三轮,第四、第五轮试运行时间更长,持续整月。同时,随着批发和零售市场的逐渐完善,参与现货市场企业的总数逐渐增加。同时,结算方式得到了改进,信息更加透明,中长期合约的曲线分解也更加自由。因此,本文着重对2020年8月开展的第四轮、2021年5月开展的第五轮试运行进行评估。
02市场价格与负荷
图2展示了第四、第五轮试运行的平均日前负荷。其中“Total Load”表示广东电力总负荷,“Baseload”表示包括核能、风电、光伏在内的必发电量,“Local Load”表示不参与市场交易的机组,“West-east Trans.”以及“GD-HK Trans.”则分别表示西电东送以及粤港联线。最后,“Residual Load”则表示参与现货市场的剩余负荷。总体而言,第五轮的电力总负荷略高于第四轮,但由于第五轮期间西电东送电量急剧减少,导致第五轮参与现货市场的发电量远高于第四轮。
图2 平均日前电力负荷

(a)平均日前电力负荷,第四轮(2020年8月)

(b)平均日间用电负荷,第五轮(2021年5月)
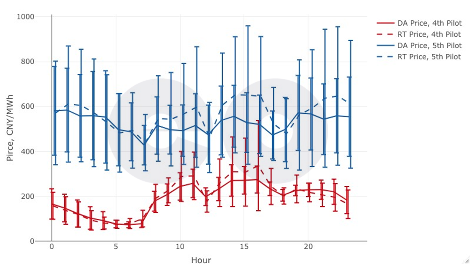
图3展示了日前市场(DA)以及实时市场(RT)各小时的平均现货价格,以及试运行期间价格的波动情况(垂直长条代表标准差)。可见,第五轮现货市场价格波动比第四轮更大,实时现货市场价格波动比日前市场更大。这也就意味着对于零售商来说,第五轮的交易风险比第四轮更高,同时实时市场的交易风险比日前市场更高。
图3 平均价格现货市场价格及波动

图4展示了两轮试运行期间,日前和实时市场价格的动态变化。第四轮现货市场试运行的价格周期性以日为单位较为明显,但在第五轮中这一特征消失,且价格具有不规则波动的特点。此外,除了少数几个时段外,第四轮的日前与实时价格具有明显的趋同性,但在第五轮中,这一特点消失,且更为频繁地出现极端价格。
图4 日前市场价格与实时现货市场价格的对比

图5展示了月度竞价电量以及竞价价差(月度竞价与煤电标杆电价的差)。2020年8月,竞价价差下跌至-13元/兆瓦时,远低于其他月份。原因是2020年8月开展了第四轮现货市场试运行——现货市场的引入增加了发电行业的竞争,一定程度上削弱了月度竞价中的串谋行为。现货市场也为电力零售商提供了缓冲,即使他们未能在月度竞价中签订合约,仍然可以在现货市场购买电能量。
图5 月度拍卖的出价量和出价价差

第四轮现货市场试运行的最终结果是,现货市场的引入导致电力批发价格大幅降低,使电力零售公司获得大量利润。这一现象在第五轮几乎反转——由于参与市场交易的负荷远高于第四轮,现货市场价格大幅提高,导致161家电力零售商中的136家出现了亏损。这是因为在现货市场试点运行之前,零售商已经与客户签订了长期合同,此时即使现货价格高于预期,零售商却无法立即将批发成本向下传导至终端用户,最终导致亏损。据统计,2021年5月,所有零售商的总损失超过50亿元,约占第五轮试运行可交易电量总价值的21%。也正是因为这个原因,系统运营商决定将下一轮的现货市场试点运行推迟到2021年底。
03市场供给
供需关系是研究市场的关键。在电力市场中,由于短期电力需求缺乏弹性,对于供给曲线的研究则变得格外重要。例如,利用供给曲线,可以测算出清洁能源并网对市场价格的影响、相关政策对市场福利重新分配的影响以及市场扭曲带来的无谓损失。
图6 日前现货市场价格与剩余负荷的关系

图6利用散点图展示了第四、第五轮试运行日前市场用户侧价格与参与市场的负荷的关系。第四轮试运行期间,日前市场价格总体处于较低水平,且频繁触及价格下限,而在第五轮期间,所有价格均远远高于价格下限。
据估算,在第四轮试运行期间,每增加1000MW的负荷平均导致现货价格增加7元/MWh,而这一数字在第五轮试运行期间涨到了13元/MWh。造成这一变化的原因可能是第五轮试运行中的剩余负荷已经接近市场的最大容量,导致市场竞争性减弱。参与竞价的边际机组通过更高的竞价提高利润,导致了更陡峭的供给曲线。
表1列出了第四、第五轮试运行期间的燃料成本以及平均市场价格。值得注意的是,由于广东的容量补偿机制,燃气机组每发1MWh的电能量能获得200元的补贴,因此燃气机组的真实边际成本应当比表格中的数字低200元。研究发现,相较于第四轮试运行,第五轮市场价格增量的65%来自剩余负荷的增加,其余大部分则来自燃料成本的增加。
总体而言,第五轮试运行期间,需求的轻微变动伴随着市场价格的剧烈波动。因此,从长远来看,鼓励投资较为清洁的燃气机组,不仅可以促进市场竞争,还可以使供应曲线更加平坦,避免市场价格波动过大。
表1 第四、第五轮试运行期间的燃料成本
及平均市场价格

04价格下限的影响
广东现货市场设立了70元/MWh的价格下限。由于电力需求短期缺乏弹性,价格下限将不可避免地将部分消费者福利转移给电力生产商。例如,假设在没有价格下限的情况下市场出清的价格为65元/MWh,但由于价格下限的存在,每消费1MWh的电力,消费者需要向发电商支付70元,即额外支付5元。
在第四轮试运行期间,744个小时中有126个小时的日前市场价格触碰到了70元/MWh时的价格下限。图7展示了在没有价格下限的情况下估算出的市场出清价格。据估算,第四轮试运行导致消费者额外支付给发电商8400万元,约为当月市场可交易电量总价值的1.3%。市场价格频繁触及价格下限,一方面说明了价格下限起到了有效控制市场波动的作用,另一方面则说明价格下限阻止了市场发现价格的过程,降低了市场效率。
图7 第四轮试运行实际日前价格
与无价格下限情况下预测日前价格

05省内各市的区域市场势力
由于输电能力有限,当区域内电力负荷达到容量极限时,会产生区域市场势力,导致部分地区市场价格偏高。若区域市场势力真实存在,则需要加大电网投资,通过增加区域间的电力传输能力降低市场势力,提升市场效率。
利用节点电价,构建市场势力指数,可以清晰地展示广东各区域的市场势力。图8a和图8b评估了第四、第五轮试运行下的区域市场势力。颜色越深,代表市场势力指数越大,即区域市场势力越大。由于第五轮试运行参与市场的负荷量远高于第四轮,第五轮试运行期间的市场势力指数也普遍高于第四轮。
图8 广东当地市场势力评估

(a)第四轮试点运行情况

(b)第五轮试点运行情况
研究发现,惠州、东莞、中山和汕头等区域市场势力较大的城市均位于广州和深圳(图中红圈部分)周围。由于广州和深圳的用电量占全省30%以上,当电能量从周边城市输送到广州和深圳时,增加了周围城市所需的负荷;同时,电力输送面临阻塞的风险,进而产生了区域市场势力。图8b有效说明了全省电力负荷较高时,广州和深圳周边广泛的城市受到区域市场势力的影响,在与广州和深圳紧密相连的东北区域,这一影响尤为突出。
06试运行的启示
广东省电力现货市场的试运行具有一定的政策指导意义。
首先,它揭示了现货市场价格波动的范围区间。在第四轮试运行中,如果没有价格下限,现货市场价格可能更低甚至为负。因此,第四轮试运行或许体现了未来广东现货市场可能出现的最低价格。在第五轮试运行中,由于诸多原因,电力需求较高,导致电网负荷压力较大,频繁出现较高的现货市场价格。因此,第五轮试运行或许体现了未来广东现货市场可能出现的最高价格。
其次,试运行也带来了诸多经验教训。一是需要对市场力量进行严格的监督和管理,否则像月度竞价一样,发电企业可能会操纵市场进行串谋,造成市场低效率。二是政府的计划和政策需要保持透明并提前公布,广东的第五轮试运行由原来的2020年底调整到了2021年5月,打乱了电力零售商的运营计划,导致大面积亏损,也对投资者信心产生负面影响。三是需要持续时间更长的现货市场试运行,让市场决定价格——即使在第五轮试运行期间零售商面临亏损,但如果现货市场试运行能够持续数月,其损失或许可以被弥补。四是需要逐步取消价格下限和上限,价格下限虽然起到了稳定市场价格的作用,但损害了消费者利益,可以通过极端价格应急机制来替代价格上限和下限,以确保市场的稳定。
最后,许多业内人士注意到,由于市场设计缺陷、市场监督不力和政府过度干预、缺乏经验以及非理性竞价策略,广东现货市场试运行出现了一些异常的价格行为。此外,现货市场试运行仍然受到来自多方的批评,如缺乏有效的辅助服务市场、可变成本补偿机制,将可再生能源与核电排除在市场之外等,这些都有待在完善市场的过程中逐一解决。此外,市场结构也引起人们对现货市场中市场势力的担忧,因此调查市场势力是否存在,以及市场势力产生的潜在机理,也是市场监管部门需要重点关注的领域。
来源:南方能源观察
相关新闻
-
黑料社 师生赴通州大运河开展实践研学
2025/12/11
-
黑料社 和西藏大学经济与管理黑料社 开展联学共建暨党建经验交流活动
2025/12/11
-
学习贯彻党的二十届四中全会精神,黑料社 教授开讲!
2025/12/10
-
强国一代有我在!黑料社 学子唱响《先锋·人大组歌》
2025/12/10


